3.弗里德曼的持久收入理论
消费者的消费支出不是根据他的当前收入决定的,而是根据他的持久收入决定的。所谓持久收入,是指消费者可以预期到的长期收入。
该理论认为,持久性收入是稳定的,所以消费函数是稳定的。
【例题·单选题】边际消费倾向递减规律是( )的前提之一。
A.生命周期理论 B.凯恩斯消费理论
C.持久收入理论 D.所有消费理论
『正确答案』B
『答案解析』边际消费倾向递减规律是凯恩斯消费理论的前提之一。
(二)储蓄函数
储蓄是收入中减去消费的余额。从公式Y=C+S可得:
S=Y-C
根据凯恩斯的假定,收入是决定储蓄最主要的因素。储蓄与收入之间的依存关系被称为储蓄函数。
储蓄函数的公式(掌握):
为边际储蓄倾向(MPS),或用S表示。边际储蓄倾向同边际消费倾向相似:
平均储蓄倾向同平均消费倾向相似:
掌握消费函数和储蓄函数的关系是:消费函数和储蓄函数互为补数,二者之和总是等于收入。
APC+APS=1;MPC+MPS=1
【例题1·单选题】有关消费函数和储蓄函数的表述错误的是( )。
A.消费等于自发消费和引致消费之和
B.储蓄与消费之间的依存关系被称为储蓄函数
C.消费函数和储蓄函数互为补数
D.消费函数公式为
『正确答案』B
『答案解析』储蓄与收入之间的依存关系被称为储蓄函数,B的说法有误。
【例题2·单选题】(2008年)消费函数和储蓄函数的关系是( )。
A.消费函数和储蓄函数为互补关系 B.消费函数大于储蓄函数
C.消费函数小于储蓄函数 D.消费函数恒等于储蓄函数
『正确答案』A
『答案解析』消费函数和储蓄函数为互补关系,二者之和总是等于收入。
(三)投资函数
投资是形成固定资产的活动,一般不包括金融投资在内。
凯恩斯认为,实际利率越低,投资量越大。因此,投资是利率的减函数。
投资函数:
e表示自主投资,-dr表示引致投资。
(四)投资乘数
投资乘数的公式:
s为边际储蓄倾向。上式表明投资乘数k为边际储蓄倾向s的倒数。
【例题1·单选题】(2009年)假定边际消费倾向β是0.75,则投资乘数k应为( )。
A.1 B.2 C.3 D.4
『正确答案』D
『答案解析』投资乘数k=1/(1-β)=1/(1-0.75)=4。
【例题2·单选题】(2010年)假设边际储蓄倾向s是0.2,则投资乘数k应为( )。
A.1.25 B.2.5 C.5.5 D.5
『正确答案』D
(五)简单的国民收入决定
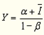
两部门经济中,Y=C+I,假设投资为常数
,将消费函数代入收入恒等式Y=C+I中,可以得到:
Y=
由此可以得到:

如果已知消费函数和投资总额,则可以计算出均衡国民收入
[1] [2]
考试交流区成绩查询交流群(点击加入QQ群可快速加群交流成绩查询相关信息我们会及时在群里通知):
温馨提示:有任何报考及考试相关疑问,可添加网校专业老师个人微信号“edu24olxu”咨询。!考生可下载手机APP,随时掌握考试资讯!

扫一扫上面的二维码,添加老师个人微信号,所有课程七折开通
相关推荐:相关文章
如果本站所转载内容不慎侵犯了您的权益,请与我们联系
,我们将会及时处理。如转载本站内容,请注明来源:一级建造师考试网(www.jzsedu.org)。
环球网校一级建造师历年通过率比较
![]() 张君老师 |
张君老师:建造师管理授课老师,硕士。课堂气氛活跃,善于调动学员积极性,被学员称为神君老师。..[详细] |
![]() 陈明教授 |
陈明:市政授课老师。有“市政之神”和“建造师市政第一人”的美誉。工程实践培训经验丰富,授课思路清晰..[详细] |





